Ответы
Ответ дал:
0
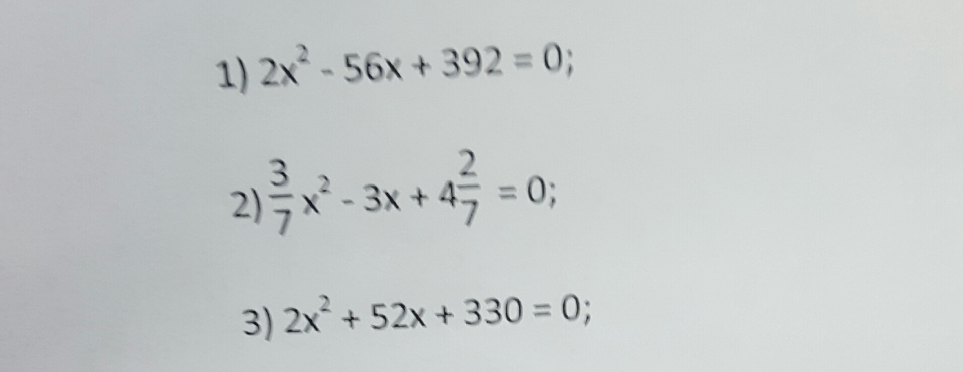
1)Все делим на 2 получаем:
x^2 - 28x + 196 = 0
D = 28^2 - 4× 196 = 784 - 784 = 0
x = 28/2= 14
2)Все умножаем на 7 получаем:
3х^2 - 21х + 30 = 0
Все делим на 3 получаем:
х^2 - 3х + 10 = 0
D = 7^2 - 4×10=9
x1=(7+3)/2=5
x2=(7-3)/2=2
3)Все делим на 2 получаем
x^2+26x+165=0
D=26^2-4×165=676-660=16
x1=(-26+4)/2=-11
x2=(-26-4)/2=-15
x^2 - 28x + 196 = 0
D = 28^2 - 4× 196 = 784 - 784 = 0
x = 28/2= 14
2)Все умножаем на 7 получаем:
3х^2 - 21х + 30 = 0
Все делим на 3 получаем:
х^2 - 3х + 10 = 0
D = 7^2 - 4×10=9
x1=(7+3)/2=5
x2=(7-3)/2=2
3)Все делим на 2 получаем
x^2+26x+165=0
D=26^2-4×165=676-660=16
x1=(-26+4)/2=-11
x2=(-26-4)/2=-15
Вас заинтересует
3 года назад
3 года назад
7 лет назад
7 лет назад
10 лет назад
10 лет назад
10 лет назад