• Предмет: Алгебра
  • Автор: Kaspa01
  • Вопрос задан 9 лет назад

Помогите пж решить 64

Приложения:

Ответы

Ответ дал: UluanaV
0
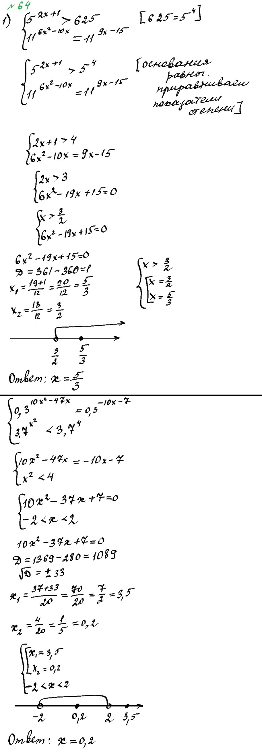
Решение в прикрепленном файле.
Приложения:
Вас заинтересует