Ответы
Ответ дал:
0
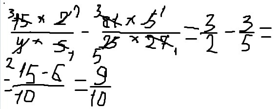
все смешанные числа я перевела в неправильные дроби (если что)
15/4*2/5-81/25*5/27
15/4*2/5-81/25*5/27
Приложения:

Вас заинтересует
2 года назад
7 лет назад
7 лет назад
9 лет назад
10 лет назад