• Предмет: Алгебра
  • Автор: marieluk
  • Вопрос задан 9 лет назад

Помогите, пожалуйста, решить 46.15 (а) ❤

Приложения:

Ответы

Ответ дал: du4ara
0
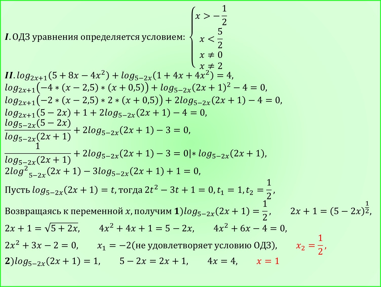
Вот решение, задача не лёгкая, надо подумать. Я постарался всё подробно написать)
Приложения:
Ответ дал: marieluk
0
Спасибо огромное!!
Вас заинтересует