• Предмет: Алгебра
  • Автор: MrHariys
  • Вопрос задан 9 лет назад

Помогите пожалуйста. Дам 100 балов.

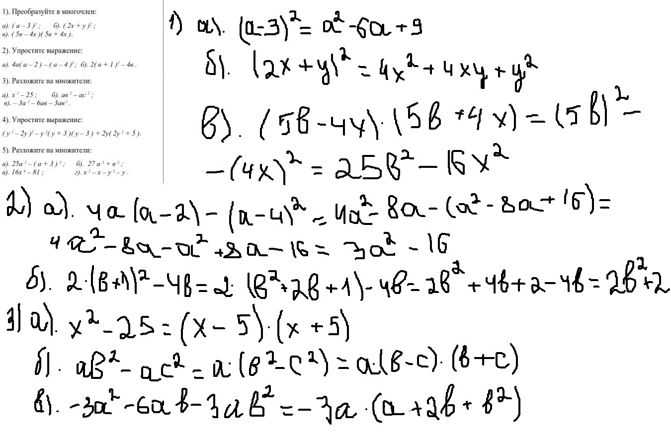
Приложения:

Ответы

Ответ дал: marishkoropar
0
ответ смотри на фото снизу
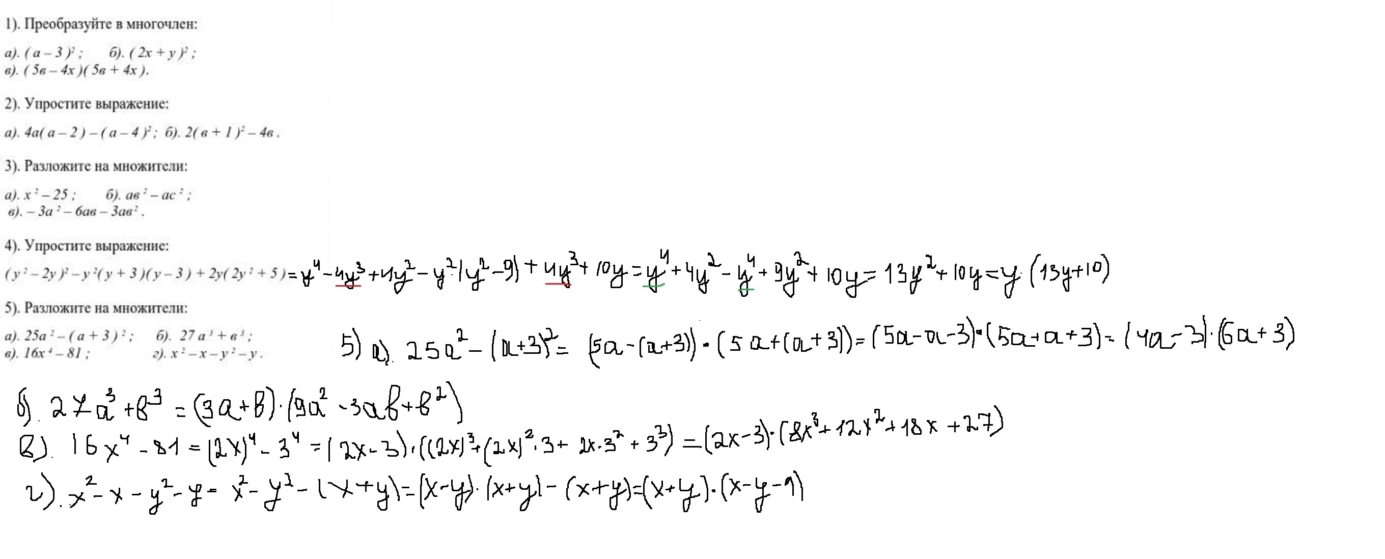
Приложения:
Вас заинтересует