Ответы
                                            Ответ дал: 
                                                                                    
                                        
                                            
                                                
                                                
                                                
                                                    0
                                                
                                            
                                        
                                    
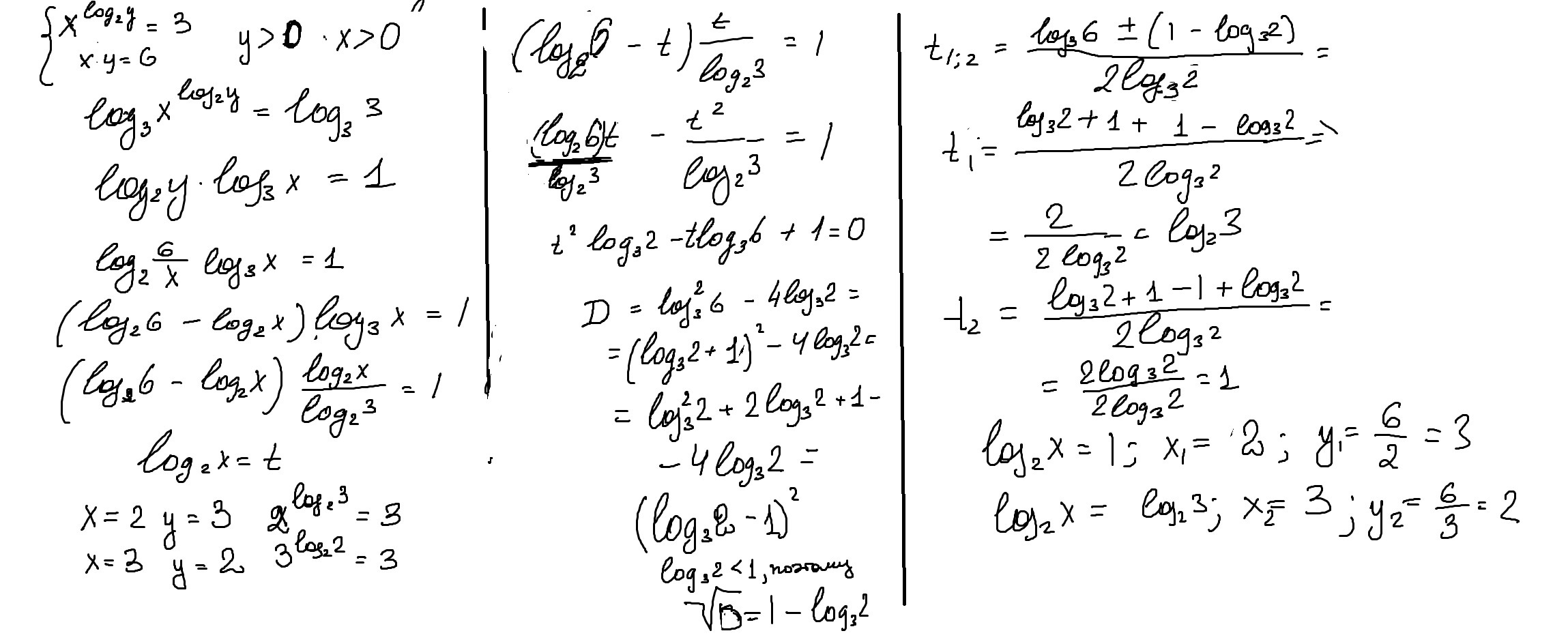
                                        можно угадать, что х=3, у=2
или х=2, у=3
и проверить подстановкой.
Но отсутствие других корней нужно подтвердить, что и сделано на вложенном листе
                                                или х=2, у=3
и проверить подстановкой.
Но отсутствие других корней нужно подтвердить, что и сделано на вложенном листе
Приложения:
                    
                            Вас заинтересует
                
                        7 лет назад
                    
                
                        7 лет назад
                    
                
                        9 лет назад
                    
                
                        9 лет назад