Ответы
Ответ дал:
0
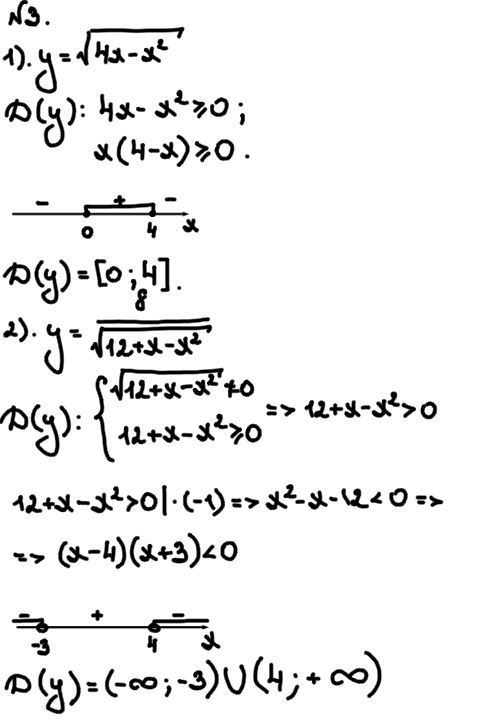
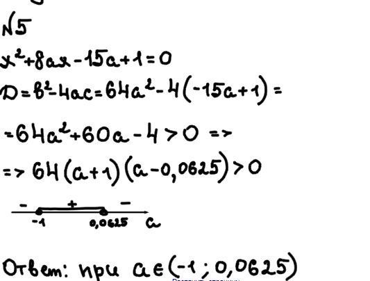
Решил задания 3 и 5.
(Решения на рисунках)
(Решения на рисунках)
Приложения:


Вас заинтересует
2 года назад
7 лет назад
9 лет назад
9 лет назад
10 лет назад