Ответы
Ответ дал:
0
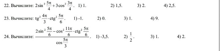
решение задания на фото
Приложения:

Ответ дал:
0
пишите,что не понятно
Ответ дал:
0
всё понятно. надо б было немного раньше решить. т.к. я торопился и не было времени. всё равно спасибо. сделаю лучшим, когда дадут выбрать
Вас заинтересует
2 года назад
7 лет назад
7 лет назад
9 лет назад
9 лет назад