• Предмет: Алгебра
  • Автор: anastasia4808
  • Вопрос задан 9 лет назад

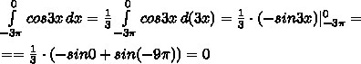
Вычислите интеграл от -3pi до 0 cos3xdx

Приложения:

Ответы

Ответ дал: mashaket216
0
Держи, вот ответ на твой пример
Приложения:
Вас заинтересует