Помогите пожалуйста. Нужно исследовать функцию и сделать чертеж. 2x^3+15x^2+36x+32 1) Найти область определения 2)исследовать функцию на непрерывность 3)найти интервалы возраст.и убыв., точки экстремума 4)интервалы выпуклости и вогнутости, точки перегиба 5)найти асимптоты 6)сделать чертеж
Ответы
Ответ дал:
0
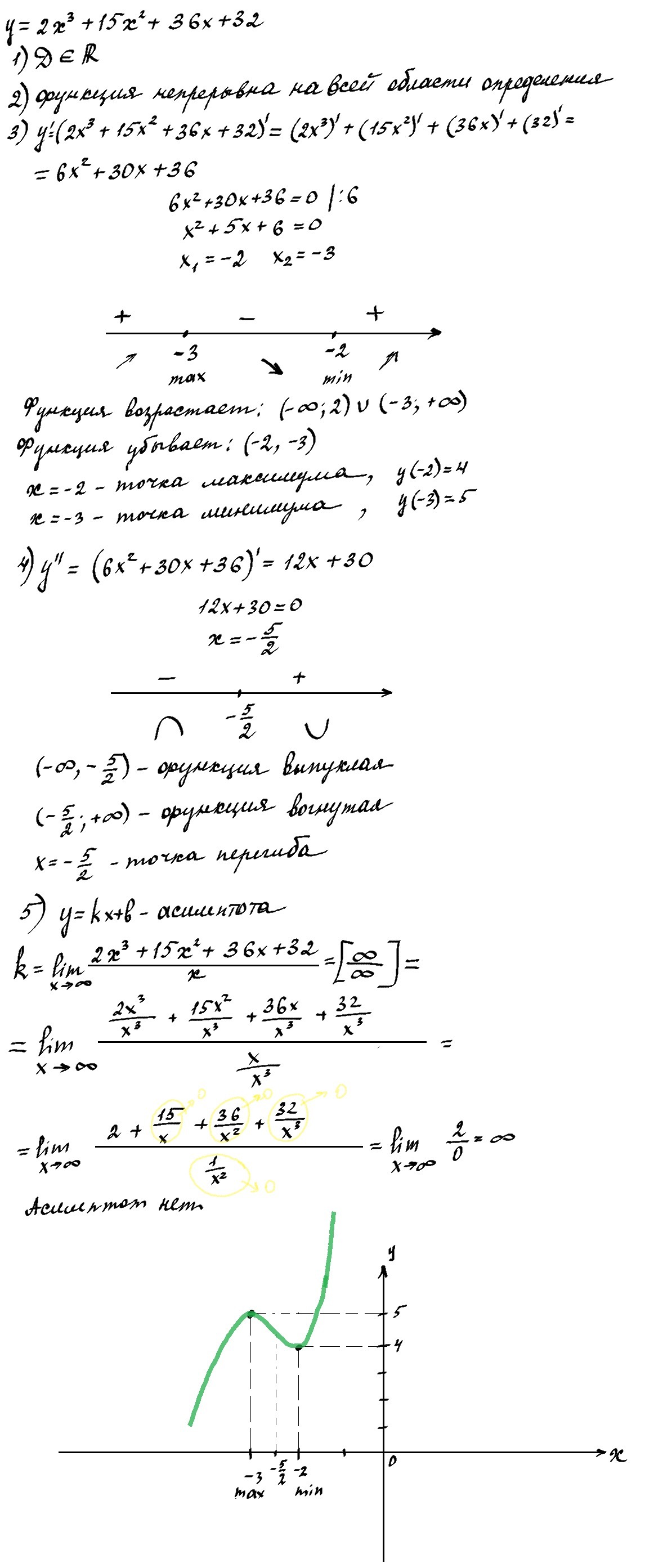
Решение в прикрепленном файле.
Приложения:

Ответ дал:
0
Огромное спасибо!
Вас заинтересует
2 года назад
2 года назад
7 лет назад
7 лет назад
9 лет назад
10 лет назад