• Предмет: Математика
  • Автор: katefulya98
  • Вопрос задан 9 лет назад

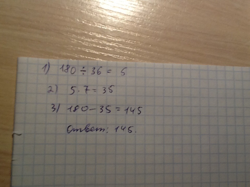
В детский сад привезли 180 кг овощей. 7/36 от всех овощей составляет картофель. Сколько кг других овощей привезли

Ответы

Ответ дал: AnastasiyaLuchkina1
0
Все решение задачи
Это очень просто
Приложения:
Вас заинтересует