Ответы
Ответ дал:
0
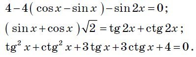
tg⁴x + ctg⁴x + tg²x + ctg²x = 4
Обозначим tg²x + ctg²x = a, тогда a² = tg⁴x + ctg⁴x + 2⇒ tg⁴x + ctg⁴x = a² -2
a² -2 + a - 4 = 0
a² + a - 6 = 0
a = -3 не подходит, т.к. а - сумма квадратов
a = 2
tg²x + ctg²x = 2
Обозначим tgx + ctgx = t, тогда t² = tg²x + ctg²x + 2⇒ tg²x + ctg²x = t² -2
t² -2 - 2 = 0
t² - 4 = 0
(t - 2)(t + 2) = 0
t = 2
t = -2
tgx + ctgx = 2
sinx/cosx + cosx/sinx = 2
(sin²x + cos²x) / (sinx·cosx) = 2
1 / (sinx·cosx) = 2
sinx·cosx = 1/2
1/2 sin2x = 1/2
sin2x = 1
2x = π/2 + 2πn
x = π/4 + πn
tgx + ctgx = -2
sinx/cosx + cosx/sinx = -2
(sin²x + cos²x) / (sinx·cosx) = -2
1 / (sinx·cosx) = -2
sinx·cosx = -1/2
1/2 sin2x = -1/2
sin2x = -1
2x = -π/2 + 2πn
x = -π/4 + πn
Ответ: x = π/4 + πm/2
Обозначим tg²x + ctg²x = a, тогда a² = tg⁴x + ctg⁴x + 2⇒ tg⁴x + ctg⁴x = a² -2
a² -2 + a - 4 = 0
a² + a - 6 = 0
a = -3 не подходит, т.к. а - сумма квадратов
a = 2
tg²x + ctg²x = 2
Обозначим tgx + ctgx = t, тогда t² = tg²x + ctg²x + 2⇒ tg²x + ctg²x = t² -2
t² -2 - 2 = 0
t² - 4 = 0
(t - 2)(t + 2) = 0
t = 2
t = -2
tgx + ctgx = 2
sinx/cosx + cosx/sinx = 2
(sin²x + cos²x) / (sinx·cosx) = 2
1 / (sinx·cosx) = 2
sinx·cosx = 1/2
1/2 sin2x = 1/2
sin2x = 1
2x = π/2 + 2πn
x = π/4 + πn
tgx + ctgx = -2
sinx/cosx + cosx/sinx = -2
(sin²x + cos²x) / (sinx·cosx) = -2
1 / (sinx·cosx) = -2
sinx·cosx = -1/2
1/2 sin2x = -1/2
sin2x = -1
2x = -π/2 + 2πn
x = -π/4 + πn
Ответ: x = π/4 + πm/2
Ответ дал:
0
спасибо
Вас заинтересует
2 года назад
2 года назад
7 лет назад
7 лет назад
10 лет назад
10 лет назад