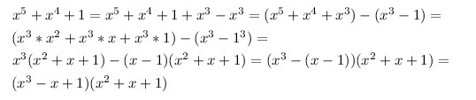
Разложить многочлен x^5+х^4+1 в произведение нескольких (не менее двух) многочленов степени не ниже первой.
Ответы
Ответ дал:
0
Приложения:

Вас заинтересует
2 года назад
2 года назад
7 лет назад
9 лет назад
9 лет назад