• Предмет: Алгебра
  • Автор: Art221122
  • Вопрос задан 9 лет назад

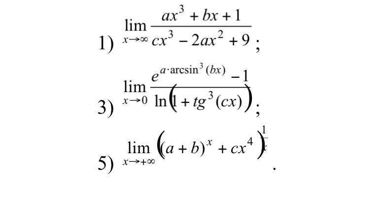
A=3, B=1, C=4, вычислить

Приложения:

Ответы

Ответ дал: NNNLLL54
0
1)quad  limlimits _{x to infty}  frac{3x^3+x+1}{4x^3-6x^2+9} =  limlimits _{x to infty}frac{x^3cdot left (3+frac{1}{x^2}+frac{1}{x^3}right )}{x^3cdot left (4-frac{6}{x}+frac{9}{x^3}right )} =frac{3}{4}\\2)quad  limlimits _{x to 0} frac{e^{3arcsin^3x}-1}{ln(1+tg^3(4x))} =[; (e^{ alpha }-1)approx  alpha ; ;; ; ln( 1+alpha )approx  alpha ; ,;  alpha to 0]=\\= limlimits _{x to 0}  frac{3arcsin^3x}{tg^3(4x)} =[, arcsin alpha approx  alpha ; ,; tg alpha approx alpha ; ]=

= limlimits _{x to 0} frac{3cdot x^3}{(4x)^3} = limlimits _{x to 0} frac{3x^3}{64x^3} =frac{3}{64}\\3)quad  limlimits _{x to +infty} (7^{x}+x^4)^{ frac{1}{x}}=7\\y(x)=(7^{x}+x^4)^{frac{1}{x}}; ; to ; ; ; lny(x)=frac{1}{x}cdot ln(7^{x}+x^4); ;\\limlimits_{xto +infty }lny= limlimits _{x to +infty}  frac{ln(7^{x}+x^4)}{x} =[frac{infty }{infty }; ]=[; Lopital; ]=

= limlimits _{x to +infty}   frac{7^{x}ln7+4x^3}{7^{x}+x^4}=limlimits _{xto +infty }frac{7^{x}ln^27+12x^2}{7^{x}ln7+4x^3} =

= limlimits _{x to +infty}  frac{7^{x}ln^37+24x}{7^{x}ln^27+12x^2}= limlimits _{x to +infty}   frac{7^{x}ln^47+24}{7^{x}ln^37+24x} = limlimits _{x to +infty} frac{7^{x}ln^57}{7^{x}ln^47+24} =\\= limlimits _{x to +infty} frac{7^{x}ln^67}{7^{x}ln^57} =ln7\\lim, (lny(x), )=ln, (limy(x), )=ln7; ; to ; ; limlimits _{xto +infty }y(x)=7
Вас заинтересует