Ответы
Ответ дал:
0
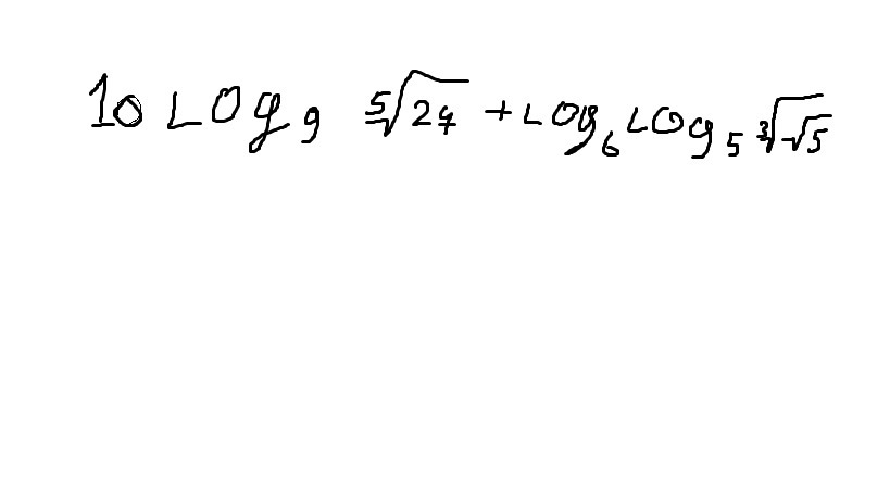
5Log3(27^1/5)=Log3(3³)=3
Log6Log5(5^1/2)^1/3=Log6Log5(5^1/6)=Log6(1/6)=Log6(6^-1)=-1
3-1=2
Oтвет:2
Log6Log5(5^1/2)^1/3=Log6Log5(5^1/6)=Log6(1/6)=Log6(6^-1)=-1
3-1=2
Oтвет:2
Вас заинтересует
2 года назад
7 лет назад
7 лет назад
10 лет назад
10 лет назад