• Предмет: Математика
  • Автор: Аноним
  • Вопрос задан 9 лет назад

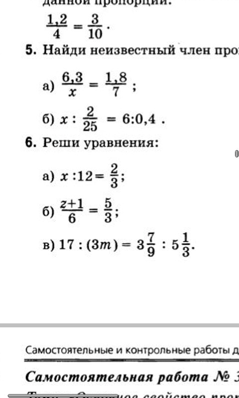
#6 под буквами а) и б) даю 8 баллов

Приложения:

Ответы

Ответ дал: Timtimcka
0
в первом х=8
во втором z=9
Ответ дал: Aranida
0
1)x/12=2/3
x=2*4
x=8
Ответ:8 
2) z+1=10
    z=9
Ответ:9
Вас заинтересует