• Предмет: Алгебра
  • Автор: lenor2002
  • Вопрос задан 9 лет назад

Даю 50 баллов!!!!!!!!!!!!!!

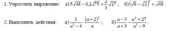
Приложения:

Ответа на этот вопрос пока нет. Попробуйте найти его через форму поиска.

Вас заинтересует