Ответы
Ответ дал:
0
Решение
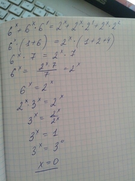
6^x + 6^(x+1) = 2^x + 2^(x+1) + 2^(x+2)
6^x + 6*6^x = 2^x + 2*2^x + 4*2^x
7*6^x = 7*2^x
6^x / 2^x = 1
[(2^x)*(3^x)] / (2^x) = 1
3^x = 1
3^x = 3°
x = 0
6^x + 6^(x+1) = 2^x + 2^(x+1) + 2^(x+2)
6^x + 6*6^x = 2^x + 2*2^x + 4*2^x
7*6^x = 7*2^x
6^x / 2^x = 1
[(2^x)*(3^x)] / (2^x) = 1
3^x = 1
3^x = 3°
x = 0
Ответ дал:
0
в ответе 5 должно получиться, а не 0
Ответ дал:
0
фото//////////////////////////////////////////////////
Приложения:
Ответ дал:
0
))))))))))))
Вас заинтересует
3 года назад
7 лет назад
10 лет назад
10 лет назад
10 лет назад