• Предмет: Физика
  • Автор: TiTaN4iG
  • Вопрос задан 11 лет назад

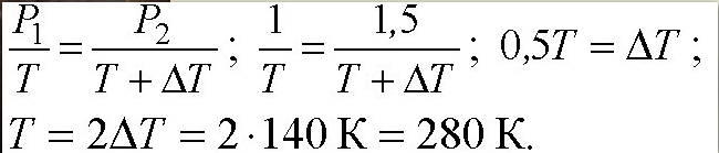
При какой температуре находился газ в закрытом сосуде, если при его нагревании на T = 300 К давление возросло в 1,5 раза?

Ответы

Ответ дал: dymogun
0

пожалуйста, наслаждайся решением) 

Приложения:
Вас заинтересует