Ответы
Ответ дал:
0
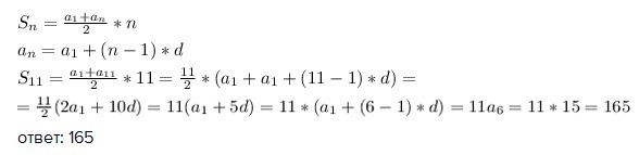
ответ: 165
Приложения:
Ответ дал:
0
по свойству арифметической прогрессии

Значит:

следовательно,

Значит:
следовательно,
Приложения:
Вас заинтересует
3 года назад
3 года назад
7 лет назад
10 лет назад
10 лет назад
10 лет назад