• Предмет: Математика
  • Автор: DianaCornsAnswers
  • Вопрос задан 9 лет назад

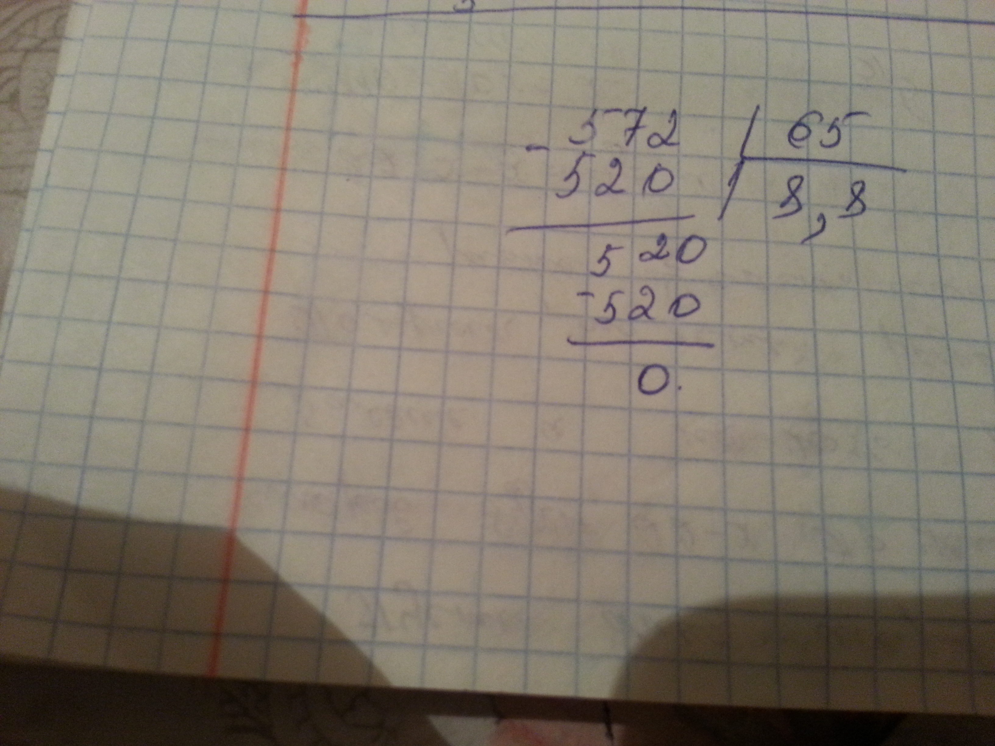
Как 572 на 65 в столбик разделить?))

Ответы

Ответ дал: amin07am
0
Ответ ответ ответ ответ ответ
Приложения:
Вас заинтересует