• Предмет: Алгебра
  • Автор: fcb03
  • Вопрос задан 9 лет назад

Пожалуйста помогите с решением.

Приложения:

Ответы

Ответ дал: NNNLLL54
0
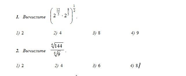
left (2^{ frac{12}{5} }cdot 2^{ frac{8}{5} }right )^{frac{1}{2}}=left (2^{4}right )^{frac{1}{2}}=sqrt{2^4}=2^2=4

 frac{sqrt[4]{144}}{sqrt[4]9} =sqrt[4]{frac{144}{9}}=sqrt[4]{16}=sqrt[4]{2^4}=2
Вас заинтересует