• Предмет: Математика
  • Автор: poulaine
  • Вопрос задан 9 лет назад

решите уравнения:
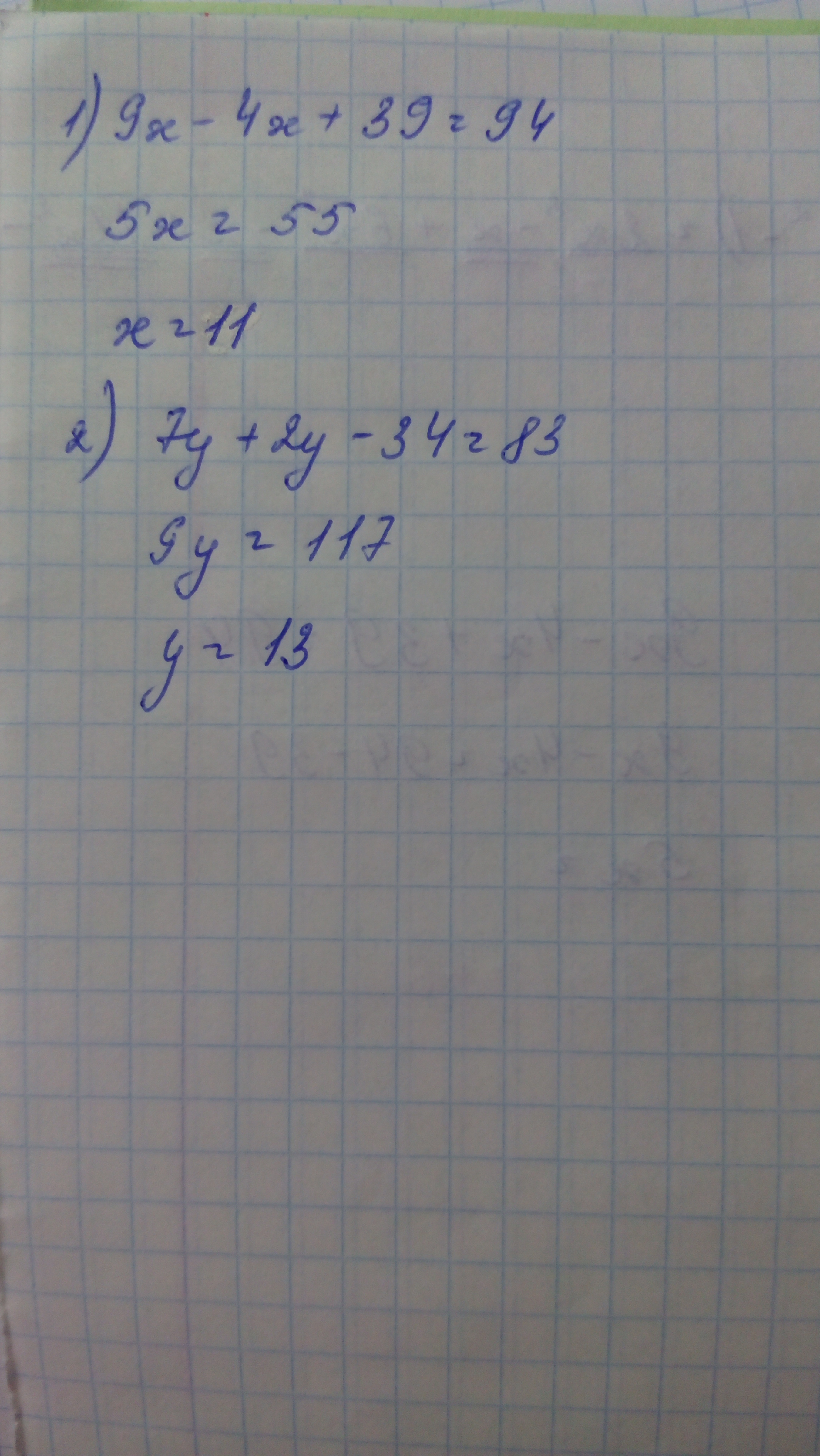
9x - 4x + 39 = 94

7y + 2y - 34 = 83

Ответы

Ответ дал: Ангел12347
0
1)9X-4X+39=94
5х=94-39
5х=55
х=11

2)7y+2y-34=83
9у=83+34
9у=117
у=13
Ответ дал: Scarlet999
0
Просто перенеси все неизвестные влево, а все известные вправо.
Приложения:
Вас заинтересует