В равнобедренном триугольнике с Р=48 см боковая сторона к основанию как 5:2!Найдите стороны триугольника!Пж с доказательством и дано))!!срочно прям
Ответы
Ответ дал:
0
Вот, если что-то непонятно, спрашивайте
Приложения:
Ответ дал:
0
Спасибо большое!
Ответ дал:
0
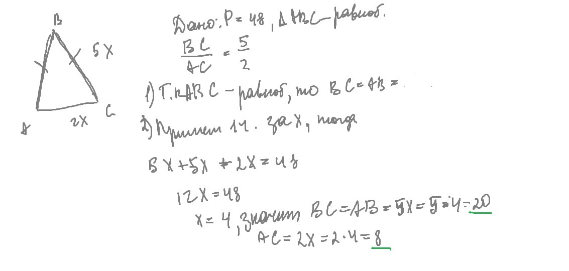
возьмём за за боковую сторону ( их две равные между собой) а=5х, тогда третья сторона равна в=2х. получаем уравнение
5х+5х+2х=48
12х=48
х=48/12
х=4
а=5•4=20 см
в=2•4=8 см
ответ: две равные стороны равны по 20см а основание 8см
5х+5х+2х=48
12х=48
х=48/12
х=4
а=5•4=20 см
в=2•4=8 см
ответ: две равные стороны равны по 20см а основание 8см
Приложения:
Вас заинтересует
3 года назад
3 года назад
7 лет назад
7 лет назад
10 лет назад
10 лет назад
10 лет назад