• Предмет: Математика
  • Автор: walruss
  • Вопрос задан 9 лет назад

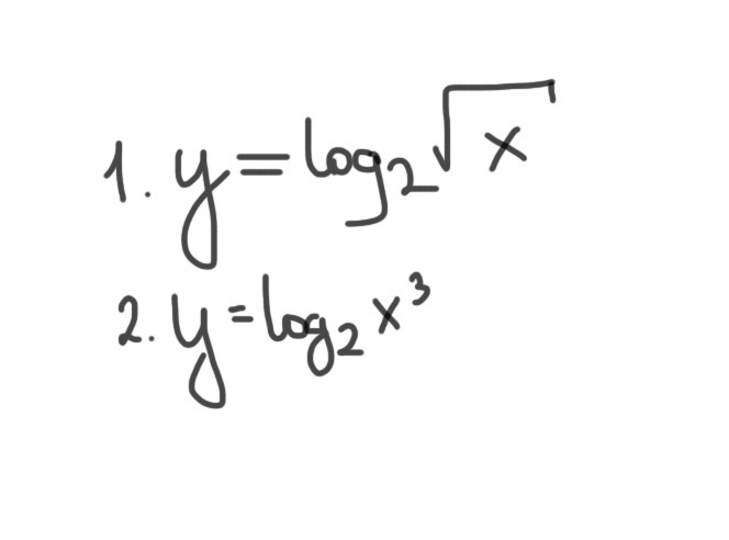
как будут выглядеть эти логарифмические функции? пожалуйста СРОЧНО!!!!

Приложения:

Ответы

Ответ дал: AliceMagic
0
ответ на фото. загрузилось?
Приложения:
Вас заинтересует