Ответы
Ответ дал:
0
вот,
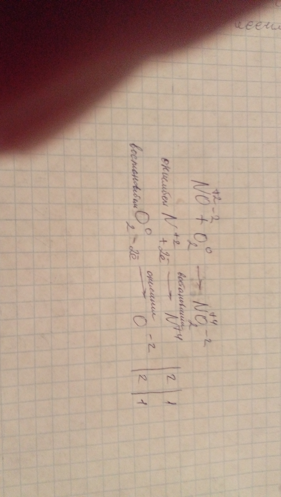
(!) во-первых: там где кислород из "0" степени оксиления переходит в "-2" в самом электронном балансе! Перед кислородом в "-2" поставьте "2" и во-вторых, в словах "восстановитель" и "восстановление" 2 буквы "с" простите за ошибку =_=
(!) во-первых: там где кислород из "0" степени оксиления переходит в "-2" в самом электронном балансе! Перед кислородом в "-2" поставьте "2" и во-вторых, в словах "восстановитель" и "восстановление" 2 буквы "с" простите за ошибку =_=
Приложения:
Ответ дал:
0
ну и хорошо)
Вас заинтересует
3 года назад
7 лет назад
10 лет назад
10 лет назад
10 лет назад