• Предмет: Алгебра
  • Автор: МуЛьТиФрУкТи
  • Вопрос задан 9 лет назад

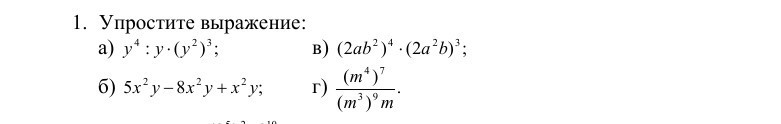
решите пожалуйста всего лишь 4 примерчика

Приложения:

Ответа на этот вопрос пока нет. Попробуйте найти его через форму поиска.

Вас заинтересует