решите пожалуйстааа
у меня есть 30 минууут
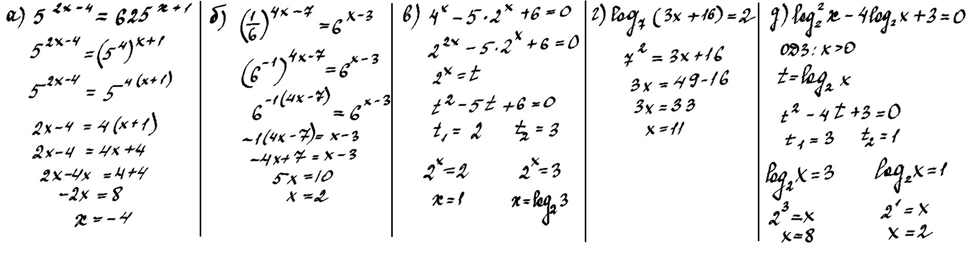
решите уравнение:
а)5^2х-4=625^х+1
б)(1/6)^4х-7=6^х-3
в)4^х-5×2^х+6=0
г)log7 (3x+16)=2
д)log2^2x-4log2x+3=0
Приложения:

Ответы
Ответ дал:
0
Решение в прикрепленном файле.
Приложения:

Вас заинтересует
2 года назад
2 года назад
7 лет назад
9 лет назад
9 лет назад
10 лет назад