Ответы
Ответ дал:
0
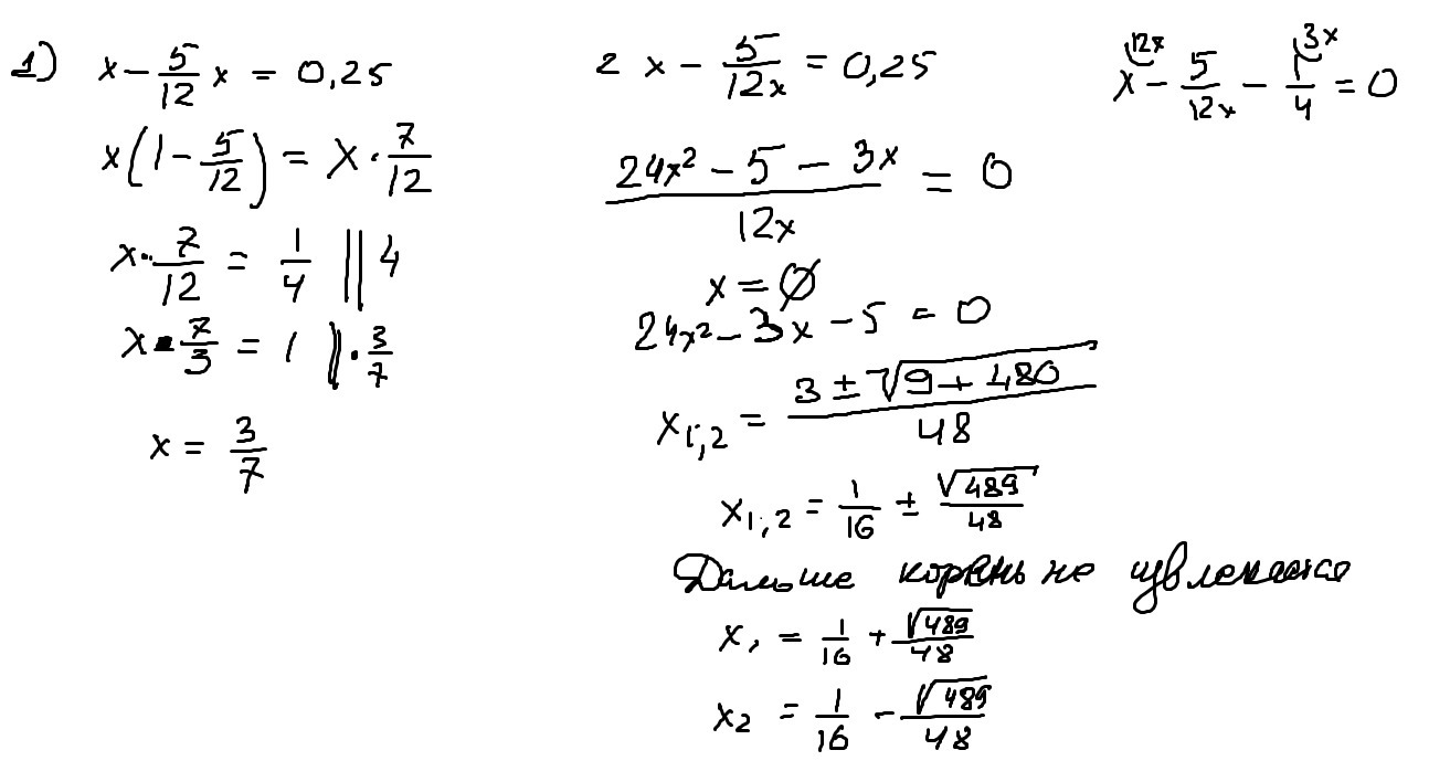
Не совсем понятно условие. Решено для 2х вариантов
Приложения:

Ответ дал:
0
а что та в 1 варианте за палочки
Вас заинтересует
2 года назад
7 лет назад
7 лет назад
9 лет назад
9 лет назад
10 лет назад