Ответы
Ответ дал:
0
1
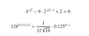
2^√x=a
a²-9/2*a+2=0
2a²-9a+4=0
D=81-32=49
a1=(9-7)/4=1/2⇒2^√x=1/2⇒√x=-1 нет решения
a2=(9+7)/4=4⇒2^√x=4⇒√x=2⇒x=4
2


(35+21x)/3=(3x-43)/3
35+21x=3x-43
21x-3x=-43-35
18x=-78
x=-78/18
x=-4 1/3
2^√x=a
a²-9/2*a+2=0
2a²-9a+4=0
D=81-32=49
a1=(9-7)/4=1/2⇒2^√x=1/2⇒√x=-1 нет решения
a2=(9+7)/4=4⇒2^√x=4⇒√x=2⇒x=4
2
(35+21x)/3=(3x-43)/3
35+21x=3x-43
21x-3x=-43-35
18x=-78
x=-78/18
x=-4 1/3
Вас заинтересует
2 года назад
7 лет назад
7 лет назад
10 лет назад
10 лет назад
10 лет назад
10 лет назад