• Предмет: Алгебра
  • Автор: Mi128Mi
  • Вопрос задан 9 лет назад

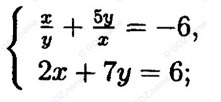
пожалуйста, решите систему уравнений

Приложения:

Ответа на этот вопрос пока нет. Попробуйте найти его через форму поиска.

Вас заинтересует