• Предмет: Математика
  • Автор: eeert6g
  • Вопрос задан 9 лет назад

помогите плиз умоляю

Приложения:

Ответы

Ответ дал: Trover
0
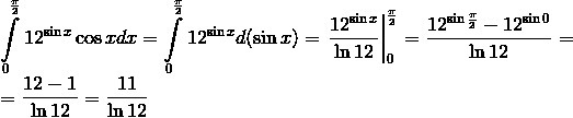
intlimits_0^{fracpi2}12^{sin x}cos xdx=intlimits_0^{fracpi2}12^{sin x}d(sin x)=left.frac{12^{sin x}}{ln12}right|_0^{fracpi2}=frac{12^{sinfracpi2}-12^{sin0}}{ln12}=\=frac{12-1}{ln12}=frac{11}{ln12}
Приложения:
Вас заинтересует