Ответы
Ответ дал:
0
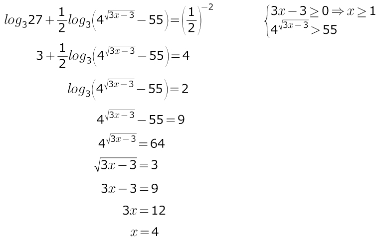
Решение смотри на фото
Приложения:

Ответ дал:
0
Огромное спасибо!!!
Ответ дал:
0
систему можно и не решать (ОДЗ))), но контролировать...
Приложения:

Вас заинтересует
2 года назад
2 года назад
7 лет назад
7 лет назад
9 лет назад
9 лет назад