Ответы
Ответ дал:
0
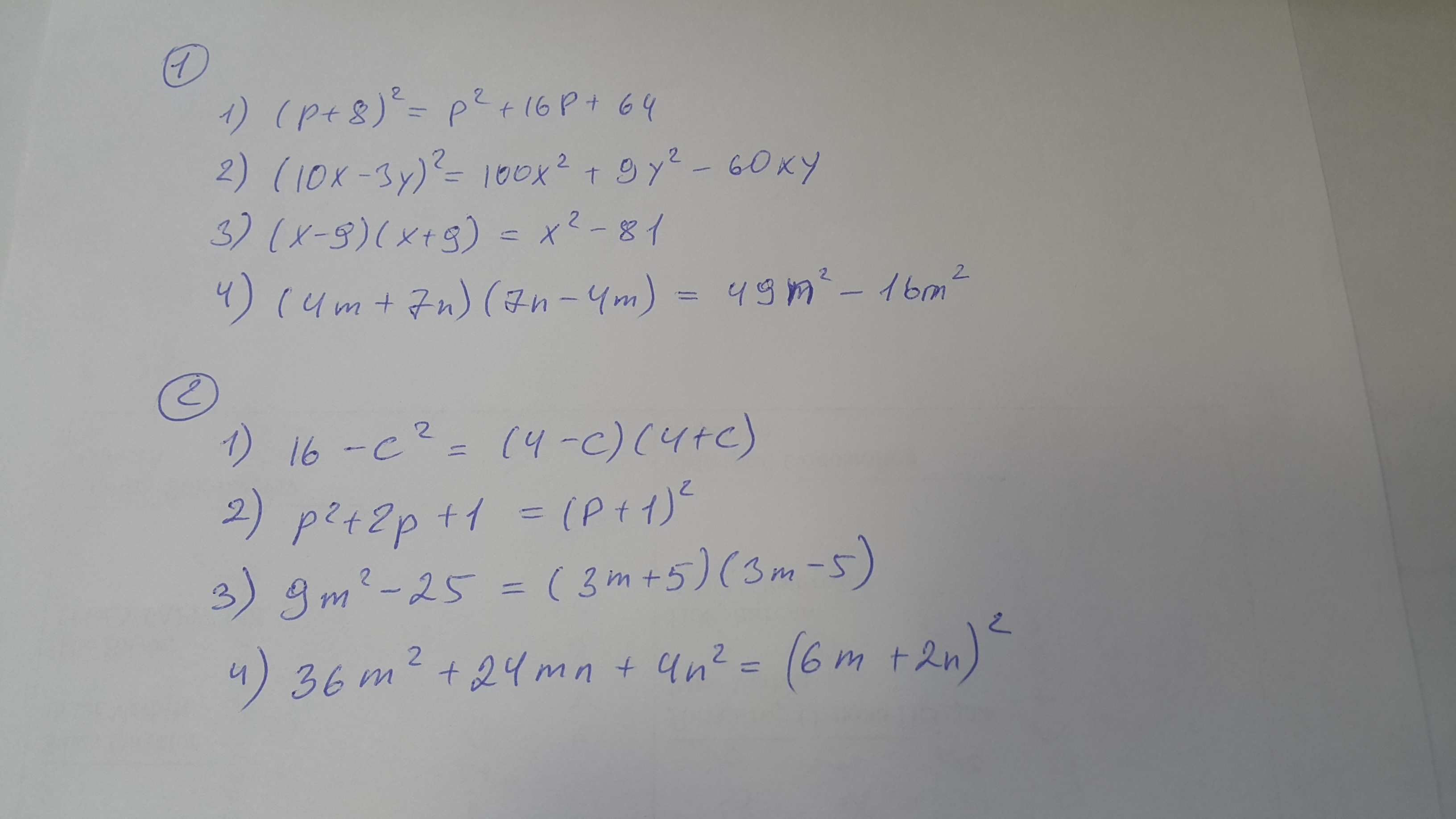
1.1) (p+8)²=p²+16p+64
2) (10x-3y)²=100x²-60xy+9y²
3) (x-9)(x+9)=x²-81
4) (4m+7n)(7n-4m)=49n²-16m²
2.1) 16-c²=(4-c)(4+c)
2) p²+2p+1=(p+1)²
3) 9m²-25=(3m-5)(3m+5)
4) 36m²+24mn+4n²=(6m+2n)²
2) (10x-3y)²=100x²-60xy+9y²
3) (x-9)(x+9)=x²-81
4) (4m+7n)(7n-4m)=49n²-16m²
2.1) 16-c²=(4-c)(4+c)
2) p²+2p+1=(p+1)²
3) 9m²-25=(3m-5)(3m+5)
4) 36m²+24mn+4n²=(6m+2n)²
Ответ дал:
0
Спасибо!
Ответ дал:
0
Короче на прикрепленном листе решение первого и второго номеров.
Приложения:

Вас заинтересует
2 года назад
2 года назад
7 лет назад
7 лет назад
9 лет назад
9 лет назад