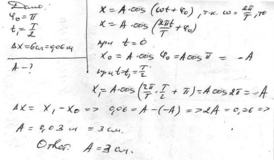
груз на пружине за Т/2 смещается на 6 см. С какой амплитудой колеблется груз? Начальная фаза колебаний равна- п рад.
Ответы
Ответ дал:
0
Удачи вам с заданием!
Приложения:

Вас заинтересует
7 лет назад
9 лет назад
10 лет назад