Ответы
Ответ дал:
0
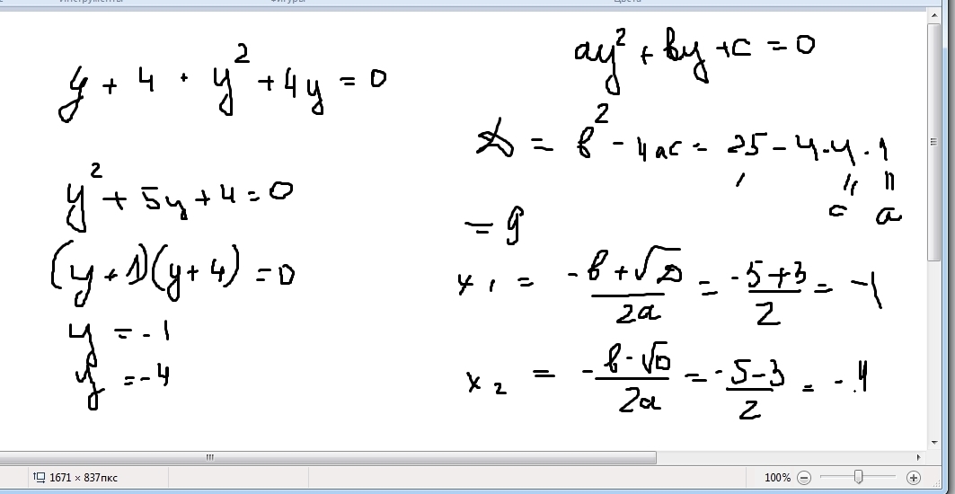
Решение приложено в виде фотографии:
все игрики в первой степени можно складывать (конечно же речь идет о коэффициентах)
И получаем обычное квадратное уравнение
все игрики в первой степени можно складывать (конечно же речь идет о коэффициентах)
И получаем обычное квадратное уравнение
Приложения:

Ответ дал:
0
Дискриминант, корень 1 (х1), корень 2 (х2)
Вас заинтересует
7 лет назад
7 лет назад
9 лет назад
10 лет назад