• Предмет: Алгебра
  • Автор: sjjjjjjjjjjjm
  • Вопрос задан 9 лет назад

пишите правильное подробное решение!!!!!!!!!

Приложения:

Ответы

Ответ дал: bzsr1
0
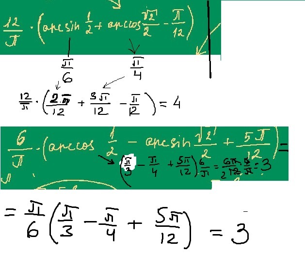
вкладываю решение подробное 
Приложения:
Вас заинтересует