Ответы
Ответ дал:
0
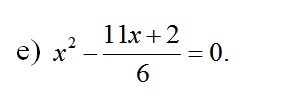
6х^2-(11х+2)=0
6х^2-11х-2=0
Д=(-11)^2-4×(-2)×6=корень 169 =13
х1=(11+13)÷12=2
х^2=(11-13)÷12=-1/6
6х^2-11х-2=0
Д=(-11)^2-4×(-2)×6=корень 169 =13
х1=(11+13)÷12=2
х^2=(11-13)÷12=-1/6
Ответ дал:
0
да, то что нужно
Вас заинтересует
2 года назад
2 года назад
7 лет назад
7 лет назад
10 лет назад
10 лет назад
10 лет назад
10 лет назад