Вынесите общий множитель за скобку:
л) xy3 + 5x2y2 – 3x2y
н) 2k(3k – 4) + (3k – 4)
о) a(b – c) + c(c – b)
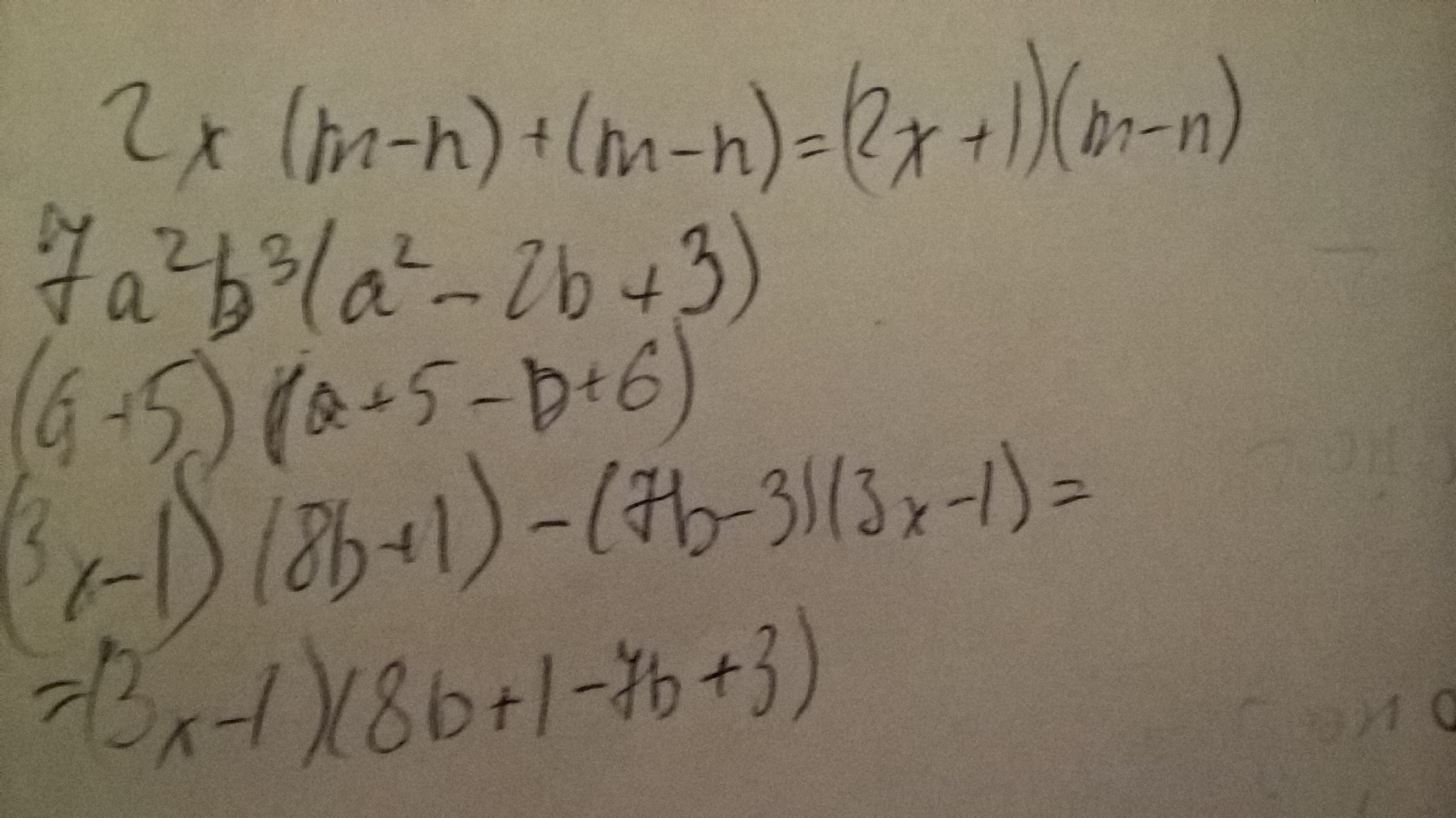
п) 2x(m – n) – (n – m)
р) 7a4b3 – 14a2b4 + 21a2b3
с) (a + 5)(a + 5) – (a + 5)(b + 6)
т) (3x – 1)(8b + 1) + (7b – 3)(1 – 3x)
Ответы
Ответ дал:
0
(2k+1)(3k-4)
a(b-c)-c(b-c)=(a-c)(b-c)
a(b-c)-c(b-c)=(a-c)(b-c)
Приложения:
Вас заинтересует
2 года назад
2 года назад
7 лет назад
10 лет назад
10 лет назад