• Предмет: Алгебра
  • Автор: Lanayal
  • Вопрос задан 11 лет назад

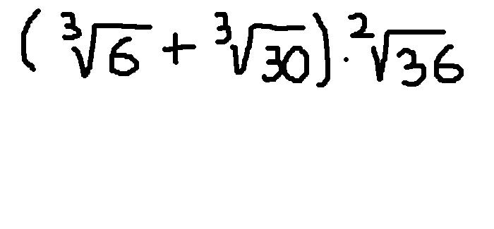
Упростите выражение:

³√6+³√30) * ²√36  

Приложения:

Ответы

Ответ дал: laymlaym2
0

(sqrt[3]{6}+sqrt[3]{30})*sqrt[3]{36}=sqrt[3]{6*36}+sqrt[3]{6*5*36}=6+6sqrt{5}\\(sqrt[3]{6}+sqrt[3]{30})*sqrt[2]{36}=(sqrt[3]{6}+sqrt[3]{30})*6=6sqrt[3]{6}+6sqrt[3]{30}

Вас заинтересует