Ответы
Ответ дал:
0
......................
Приложения:
Ответ дал:
0
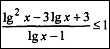
а х=100 не является решением? это плюс к тому, что Вы написали
Ответ дал:
0
1) В дополнение к предыдущему ответу.
Так как в задании дано нестрогое неравенство, то надо рассмотреть и вариант, когда числитель равен знаменателю (частное 1).
Ответом будет lg x = 2, x = 10² = 100.
2) Дано:
ОДЗ: х² - 4 > 0, x > 2, x < -2.
Так как произведение меньше 0, а первый множитель не может быть меньше 0, то только второй множитель отрицателен.


Значит, 2 в 3 степени больше, чем логарифмируемое выражение:
2³ > 1-x
8 > 1-x
x > 1-8
x > -7.
С учётом ОДЗ: -2 > x >-7.
Так как в задании дано нестрогое неравенство, то надо рассмотреть и вариант, когда числитель равен знаменателю (частное 1).
Ответом будет lg x = 2, x = 10² = 100.
2) Дано:
ОДЗ: х² - 4 > 0, x > 2, x < -2.
Так как произведение меньше 0, а первый множитель не может быть меньше 0, то только второй множитель отрицателен.
Значит, 2 в 3 степени больше, чем логарифмируемое выражение:
2³ > 1-x
8 > 1-x
x > 1-8
x > -7.
С учётом ОДЗ: -2 > x >-7.
Приложения:
Ответ дал:
0
Спасибо огромное!
Вас заинтересует
2 года назад
7 лет назад
10 лет назад
10 лет назад
10 лет назад