• Предмет: Математика
  • Автор: sheliff
  • Вопрос задан 9 лет назад

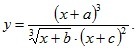
Найти производную. Хелп :>

Приложения:

Ответы

Ответ дал: Nennn
0
y= frac{(x+a)^3}{ sqrt{x+b}(x+c)^2} =(x+a)^3(x+b)^{ -frac{1}{3} }(x+c)^{-2} \ y'=3(x+a)^2(x+b)^{ -frac{1}{3} }(x+c)^{-2}+(x+a)^3( -frac{1}{3}(x+b)^{ -frac{4}{3} }(x+c)^{-2} - \ -2(x+b)^{ -frac{1}{3} }(x+c)^{-3} )
Вас заинтересует