• Предмет: Алгебра
  • Автор: olyaorlova03
  • Вопрос задан 9 лет назад

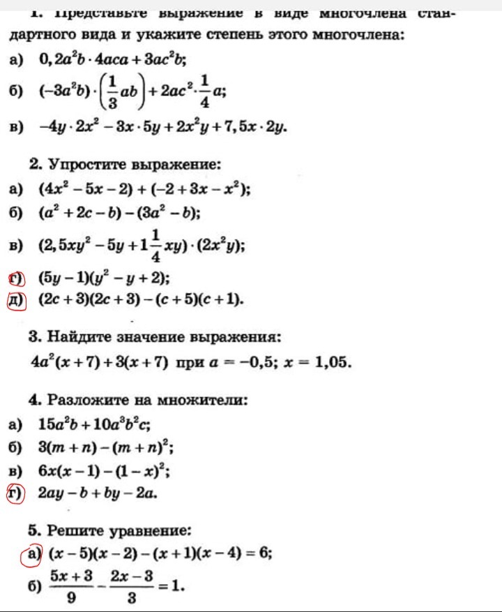
Помогите решить,пожалуйста!(Выделено то что нужно)Баллов много даю!

Приложения:

Ответа на этот вопрос пока нет. Попробуйте найти его через форму поиска.

Вас заинтересует