• Предмет: Алгебра
  • Автор: AzizovaAnna201
  • Вопрос задан 9 лет назад

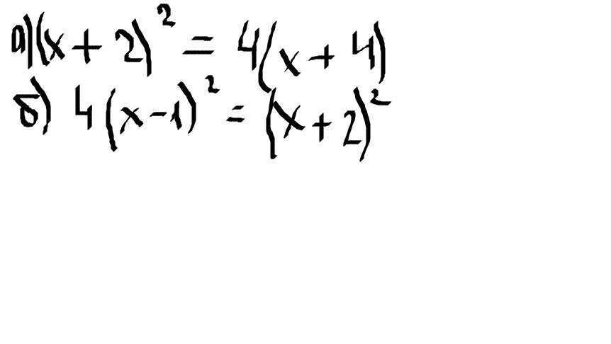
помогите решить уравнения)

Приложения:

Ответы

Ответ дал: Lerapantera
0
1) х+2×х+2=4х+16
х×х-4х=16-2-2
х-4х=16-2-2
-3х=12
х=12÷(-3)
х=-4
Вас заинтересует