• Предмет: Алгебра
  • Автор: Simon2000
  • Вопрос задан 9 лет назад

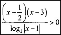
И еще одно неравенство, не пропустите. Пожалуйста...

Приложения:

Ответа на этот вопрос пока нет. Попробуйте найти его через форму поиска.

Вас заинтересует