Ответы
Ответ дал:
0
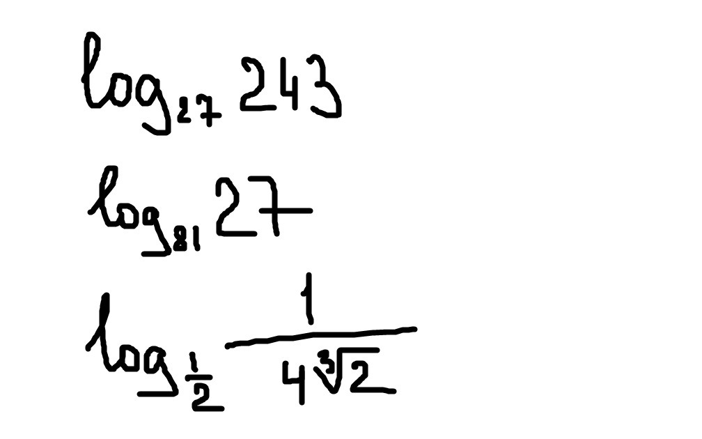
log(a^m)a^n=n/m
-----------------------
log(27)243=log(3³)3^5=5/3
log(81)27=log(3^4)3³=3/4
log(1/2)(1/2)^7/3=7/3
-----------------------
log(27)243=log(3³)3^5=5/3
log(81)27=log(3^4)3³=3/4
log(1/2)(1/2)^7/3=7/3
Вас заинтересует
2 года назад
7 лет назад
7 лет назад
10 лет назад