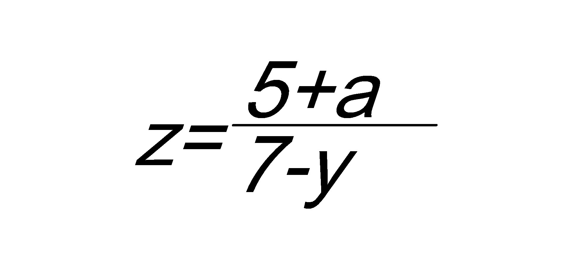
Написать программу в PascalABC.NET для вычисления выражения (пример в файле внизу). Результат вывести.Спасибо!
Приложения:

Ответа на этот вопрос пока нет. Попробуйте найти его через форму поиска.
Вас заинтересует
2 года назад
2 года назад
7 лет назад
7 лет назад
9 лет назад
9 лет назад
10 лет назад