• Предмет: Алгебра
  • Автор: Valentin231
  • Вопрос задан 9 лет назад

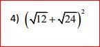
Помогите, с полным решением)

Приложения:

Ответа на этот вопрос пока нет. Попробуйте найти его через форму поиска.

Вас заинтересует