Ребята помогите пж, Мне ОЧЕНЬ ОЧЕНЬ надо составить циклическую блок- схему с 2 циклами любой пример ( не уравнение) ЗАРАНЕЕЕ ОГРОМНОООЕ СПС
Ответы
Ответ дал:
0
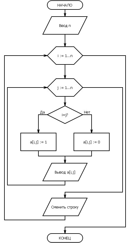
Во вложении блок-схема программы, которая создает диагональную матрицу указанного размера.
Вот так выглядит матрица размера 5х5
1 0 0 0 0
0 1 0 0 0
0 0 1 0 0
0 0 0 1 0
0 0 0 0 1
Вот так выглядит матрица размера 5х5
1 0 0 0 0
0 1 0 0 0
0 0 1 0 0
0 0 0 1 0
0 0 0 0 1
Приложения:

Ответ дал:
0
Печально. У меня внучка в третьем классе учится - она и то лучше разбирается в математике....
Ответ дал:
0
правильно часто можно встретить уравнение в блок схеме
Вас заинтересует
2 года назад
2 года назад
9 лет назад
9 лет назад
10 лет назад