• Предмет: Химия
  • Автор: AlexM13
  • Вопрос задан 9 лет назад

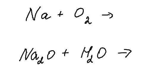
Помогите, пожалуйста, написать уравнение реакции. Заранее благодарю.

Приложения:

Ответа на этот вопрос пока нет. Попробуйте найти его через форму поиска.

Вас заинтересует